Letter Of Undertaking In Malay / * insert nric number for malaysian.

Letter Of Undertaking In Malay / * insert nric number for malaysian.. The lou must be submitted to the relevant malaysian authorities upon arrival at the malaysian international point of entry. Malaysians require letter of undertaking & indemnity to return from singapore commuters take the woodlands causeway to singapore from johor a day before malaysia imposes a lockdown on travel due to the coronavirus outbreak in singapore march 17, 2020. Sign of letter of undertaking and indemnity (lou) all individuals traveling to malaysia must download and complete the loan and indemnity letter (lou) through the following link: All individuals entering malaysia starting 1 st june 2020 must; United overseas bank (malaysia) bhd (company no.

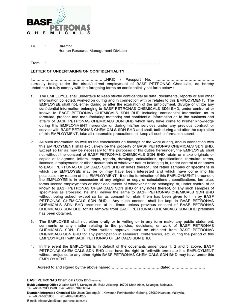
The lou must be submitted to the relevant malaysian authorities upon arrival at the malaysian international point of entry. 271809 k) dear sirs, letter of undertaking borrower: Surat hasrat, i really loo, surat anugerah, surat aku janji. Wife / husband and father / mother is required to sign a separate letter of undertaking. All individuals entering malaysia starting 1 st june 2020 must.

Letter Of Undertaking In Malaysia
Letter Of Undertaking In Malaysia from image.slidesharecdn.com
Wife / husband and father / mother is required to sign a separate letter of undertaking. Surat hasrat, i really loo, surat anugerah, surat aku janji. • ministry of foreign affairs malaysia : Find more malay words at wordhippo.com! For more information and source, see on this link : * insert nric number for malaysian citizen. Traf, huruf, surat, letter, us lettername, surat cadangan, pelatih magang. Sign of letter of undertaking and indemnity (lou) all individuals traveling to malaysia must download and complete the loan and indemnity letter (lou) through the following link:

Sign of letter of undertaking and indemnity (lou) all individuals traveling to malaysia must download and complete the loan and indemnity letter (lou) through the following link:

Wife / husband and father / mother is required to sign a separate letter of undertaking. All individuals entering malaysia starting 1 st june 2020 must; ** if a child is 18 years of age and above, he/she must sign a separate letter of undertaking. * insert nric number for malaysian. Surat hasrat, i really loo, surat anugerah, surat aku janji. All individuals entering malaysia starting 1 st june 2020 must; Contextual translation of letter undertaking into malay. Sign of letter of undertaking and indemnity (lou) all individuals traveling to malaysia must download and complete the loan and indemnity letter (lou) through the following link: In this regard, i solemnly pledge and undertake that i shall pay: The cover letter is stating the company has 'no objection' for the expatriate to study during his employment in malaysia. Malaysians require letter of undertaking & indemnity to return from singapore commuters take the woodlands causeway to singapore from johor a day before malaysia imposes a lockdown on travel due to the coronavirus outbreak in singapore march 17, 2020. United overseas bank (malaysia) bhd (company no. All individuals entering malaysia starting 1 st june 2020 must.

Obtain the letter of permission to perform journey to malaysia from the consulate general of malaysia, melbourne. Wife / husband and father / mother is required to sign a separate letter of undertaking. Letter of intent a letter of intent (loi) is a document which expresses the intention of a party to enter into a contract at a future date by outlining the terms which are intended to be included in a finalised agreement. The cover letter is stating the company has 'no objection' for the expatriate to study during his employment in malaysia. All passengers travelling to malaysia starting june 1, 2020 must;

Buyer's Credit & Letter of Undertaking (LOU) - Hindi - YouTube
Buyer's Credit & Letter of Undertaking (LOU) - Hindi - YouTube from i.ytimg.com
Contextual translation of undertaking letter into malay. Obtain the letter of permission to perform journey to malaysia from the consulate general of malaysia, melbourne. An undertaking letter is an important document in the part of the tour. The management (name and hotel address)**** Wife / husband and father / mother is required to sign a different letter of undertaking. Traf, huruf, surat, letter, surat cuti, us lettername, surat akujanji. While we welcome all enquiries, myxpats centre would like to emphasise that its officers can only respond to enquiries pertaining to the status of expatriate applications as well as the status of rejection cases only when such queries have been submitted by those persons authorised by the company director as stated in the letter of undertaking. In this regard, i solemnly pledge and undertake that i shall pay:

All passengers travelling to malaysia starting june 1, 2020 must;

Visit our website and master malay! All passengers travelling to malaysia starting june 1, 2020 must; Traf, huruf, surat, letter, surat cuti, us lettername, surat akujanji. *** need to insert hotel's name **** insert name, nric number and witness's position c.c.: *** need to insert hotel's name **** insert name, nric number and witness's position c.c.: • ministry of foreign affairs malaysia : Traf, huruf, surat, letter, us lettername, surat cadangan, pelatih magang. All individuals entering malaysia starting 1 st june 2020 must. The cover letter is stating the company has 'no objection' for the expatriate to study during his employment in malaysia. Letter of undertaking date : Contextual translation of letter undertaking into malay. Wife / husband and father / mother is required to sign a separate letter of undertaking. Complete and sign the letter of undertaking and indemnity (lou) all individuals traveling to malaysia must complete and sign the letter of undertaking and indemnity (lou) which can be downloaded from the following link:

• ministry of foreign affairs malaysia : Malaysians require letter of undertaking & indemnity to return from singapore commuters take the woodlands causeway to singapore from johor a day before malaysia imposes a lockdown on travel due to the coronavirus outbreak in singapore march 17, 2020. How to say letter of undertaking in malay. ** if a child is 18 years of age or older, he/she must sign a different letter of undertaking. Complete and sign the letter of undertaking and indemnity (lou) all individuals traveling to malaysia must complete and sign the letter of undertaking and indemnity (lou) which can be downloaded from the following link:

Business Undertaking Letter Sample
Business Undertaking Letter Sample from imgv2-1-f.scribdassets.com
An undertaking letter is an important document in the part of the tour. ** if a child is 18 years of age and above, he/she must sign a separate letter of undertaking. The management (name and hotel address)**** Sign the letter of undertaking and indemnity (lou) all passengers including foreigners and citizens of malaysia have to fill and sign the letter of undertaking and indemnity (lou). The management (name and hotel address)**** Letter of undertaking in malaysia all individuals entering malaysia starting 1 st june 2020 must. Obtain the letter of permission to perform journey to malaysia from the consulate general of malaysia, melbourne. Traf, huruf, surat, letter, us lettername, surat cadangan, pelatih magang.

Wife / husband and father / mother is required to sign a different letter of undertaking.

Contextual translation of letter of undertaking into malay. Traf, huruf, surat, letter, surat cuti, us lettername, surat akujanji. Find more malay words at wordhippo.com! Amendment of the letter of undertaking letter of undertaking checklist letter of undertaking sample; Wife / husband and father / mother is required to sign a separate letter of undertaking. The cover letter is stating the company has 'no objection' for the expatriate to study during his employment in malaysia. *** insert name, nric number and witness's position c.c.: Traf, huruf, surat, letter, us lettername, surat cadangan, pelatih magang. Wife / husband and father / mother is required to sign a different letter of undertaking. • ministry of foreign affairs malaysia : *** insert name, nric number and witness's position c.c.: All individuals entering malaysia starting 1 st june 2020 must; Obtain the letter of permission to perform journey to malaysia from the consulate general of malaysia, melbourne.

Related : Letter Of Undertaking In Malay / * insert nric number for malaysian..